Develoment/Math
[유니티] 벡터의 내적
Seo_re:
2022. 4. 26. 21:25
반응형
내적
- '곱한다'는 뜻을 가지고 있다.
- 한 벡터(A)를 다른 벡터(B) 위로 정사영 시킨 길이와 다른 벡터(B) 길이의 곱이다.
- 내적의 결과는 스칼라(실수) 값이 나오게된다.
- 물체의 위치, 시야각, 빛 등에 사용된다.
- 기호는 •이며 dot(inner) product라고한다.
- 좀 더 자세한 설명은 다음 영상 참고 : https://youtu.be/IOf1o72aKDc
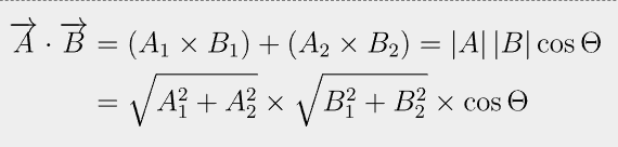
내적 공식
- 다음 그림을 기준으로 내적을 구해보자

1. 두 벡터의 각 성분끼리의 곱의 합으로 정의

2. 두 벡터가 이룬 사잇각(ʘ)으로 정의

※ 위의 두 정의에 따라 사잇각(ʘ)을 구할 수 있다.

cosʘ의 값이 0.8이라는것을 알았으니 2번 정의에 대입을 해보면 30 * 0.8 = 24가 되므로 1번과 2번의 결과값이 동일하다는 것을 알 수 있다.
각도를 알고싶으면 결과값 0.8을 역함수로 계산기를 돌려보면 각도를 얻을 수 있다.

반응형